尤利联想系数科普中国-科学百科 2018-04-25 作者:王玮 |
在统计数据中,尤利联想系数,也被称为“综合系数”,是用于测量两个二元变量之间相关性大小的方法。这一测量方法是由George Udny Yule于1912年制定的。这个综合系数与Yule的四分位数偏态系数有所不同。
定义
在统计数据中,尤利联想系数,也被称为“综合系数”,是指两个二元变量之间的联系。这一测量方法是由George Udny Yule在1912年制定的。这个综合系数不应该与Yule的四分位数偏态系数相混淆。
性质
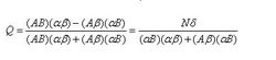
作为衡量两种属性a和B之间关系强度的一种衡量标准,G.Udny Yule给出了“关联系数”的系数,定义如下:

如果A和B是独立的,那么δ= 0 à Q= 0
如果A和B是完全相关的,那么(AB)=(A)(a)=0或者(AB)=(B)(B)=0
在每一种情况下Q=+1。
如果A和B完全的分离,那么(AB)=0或者(αβ) = 0,因此可以得到Q=-1。
所以,-1 ≤ Q ≤ 11
应用
在社会科学中,我们会遇到一些无法定量测量的现象。例如失明、耳聋、宗教;青少年犯罪、婚姻状况等都是一些不可测量的现象。这样的特征被称为属性。
在这些情况下,可以计算拥有或不拥有这些属性的个体。在处理一个属性时,数据的分类是根据属性的存在与否来完成的。同样重要的是,对所研究的属性的明确定义是很重要的。只有当两个属性在许多情况中都同时出现时才会被联系起来,认为它们是相互关联的。为了确定属性是否相关联,可以使用以下方法:
比较观察和期望的频率
比例法
尤利联想系数
综合系数
应变系数
本词条内容贡献者为:
王玮 - 副研究员 - 中国科学院心理研究所
责任编辑:科普云
科普中国APP
科普中国微信
科普中国微博

最新文章
-
为何太阳系所有行星都在同一平面上旋转?
新浪科技 2021-09-29
-
我国学者揭示早期宇宙星际间重元素起源之谜
中国科学报 2021-09-29
-
比“胖五”更能扛!我国新一代载人运载火箭要来了
科技日报 2021-09-29
-
5G演进已开始,6G研究正进行
光明日报 2021-09-28
-
“早期暗能量”或让宇宙年轻10亿岁
科技日报 2021-09-28
-
5G、大数据、人工智能,看看现代交通的创新元素
新华网 2021-09-28








